
Вариант ФИ2490201 заданий, ответы Тренировочной работе СтатГрад №2 по Физике 9 класс в формате реального экзамена ОГЭ, которая проводится 12 декабря 2024 года.
Тренировочная работа №2 по Физике 9 класс
Задания варианта ФИ2490201
→ Скачать официальные задания и ответы
1. Установите соответствие между физическими величинами и единицами этих величин в СИ. К каждой позиции первого столбца подберите соответствующую позицию из второго столбца и запишите в таблицу выбранные цифры под соответствующими буквами.
ФИЗИЧЕСКАЯ ВЕЛИЧИНА
А) сила
Б) удельная теплота парообразования
В) механическая мощность
ЕДИНИЦА ФИЗИЧЕСКОЙ ВЕЛИЧИНЫ
1) джоуль на килограмм (1 Дж/кг)
2) джоуль (1 Дж)
3) ньютон (1 Н)
4) ньютон на килограмм (1 Н/кг)
5) ватт (1 Вт)
Ответ: 315
2. Установите соответствие между физическими приборами (техническими устройствами) и физическими явлениями, лежащими в основе их работы К каждой позиции первого столбца подберите соответствующую позицию из второго столбца и запишите в таблицу выбранные цифры под соответствующими буквами.
ФИЗИЧЕСКИЙ ПРИБОР/ТЕХНИЧЕСКОЕ УСТРОЙСТВО
А) оптический микроскоп
Б) барометр-анероид
ФИЗИЧЕСКОЕ ЯВЛЕНИЕ
1) зависимость гидростатического давления от высоты столба жидкости
2) зависимость деформации от действующей силы
3) отражение света
4) преломление света
Ответ: 42
3. В окне имеются две форточки: одна находится в верхней части окна, а другая − в нижней. Если зимой открыть верхнюю форточку, то
1) это создаёт условия для лучшей теплопроводности воздуха, температура в комнате понизится быстрее, чем если бы вместо верхней открыли нижнюю форточку
2) это создаёт условия для лучшей конвекции воздуха, температура в комнате понизится быстрее, чем если бы вместо верхней открыли нижнюю форточку
3) это создаёт условия для худшей теплопроводности воздуха, температура в комнате будет понижаться медленнее, чем если бы вместо верхней открыли нижнюю форточку
4) это создаёт условия для худшей конвекции воздуха, температура в комнате будет понижаться медленнее, чем если бы вместо верхней открыли нижнюю форточку
Ответ: 1
4. Прочитайте текст и вставьте на места пропусков слова (словосочетания) из приведённого списка. Верх цилиндрического стеклянного стакана, стоящего на столе в комнате, затянули тонкой резиновой плёнкой и поставили его под колокол воздушного насоса.  После того, как из-под колокола начали выкачивать воздух, резиновая плёнка на стакане перестала быть плоской и выгнулась наружу (см. рисунок 1). Это означает, что деформация плёнки происходит только тогда, когда с разных сторон воздух (А)_________ на плёнку. В наблюдаемом опыте давление воздуха внутри стакана (Б)________, чем давление воздуха снаружи. В комнате, где давление воздуха с разных сторон от плёнки было (В)_________, плёнка оставалась плоской. Если бы вместо откачивания воздуха, под колокол стали бы накачивать дополнительный воздух, то плёнка (Г)_________.

Список слов и словосочетаний:
1) осталась бы плоской
2) прогнулась бы внутрь стакана
3) выше
4) ниже
5) разным
6) одинаковым
7) оказывает разные давления
8) оказывает одинаковые давления
Ответ: 7362
5. Лодка, на дне которой лежит сосновое полено, плавает в небольшом бассейне. Изменится ли (и если да, то как) уровень воды в бассейне, если это полено осторожно из лодки опустить в бассейн?
1) Уровень воды в бассейне не изменится, так как плавающее в бассейне полено вытеснит именно тот объём воды, который оно вытесняло, будучи в лодке и который равен весу полена в воздухе.
2) Уровень воды в бассейне понизится, так как плавающее в бассейне полено вытесняет мéньший объём воды, чем тот объём воды, который оно вытесняло, находясь в лодке, из-за того, что плотность воды больше плотности сосны.
3) Уровень воды в бассейне повысится, так как объём соснового полена больше объёма воды, равного весу полена в воздухе.
4) Уровень воды в бассейне понизится, так как суммарная сила Архимеда, действующая на плавающее в бассейне полено и отдельно плавающую лодку, превышает силу Архимеда, действующую на лодку, плавающую вместе с поленом.
Ответ: 1 
6. Маленькое тело массой m = 50 г движется равномерно внутри вогнутой чаши с радиусом кривизны R = 0,5 м. В первом случае тело двигалось с постоянной скоростью v1 = 2 м/c, а во втором случае – со скоростью v2 = 1 м/c. Чему равно отношение сил реакции опоры N1/N2, действующих на это тело при прохождении телом точки А? Сопротивлением воздуха пренебречь.

Ответ: 1,5
7. К рычагу ОА приложены силы, направления которых указаны на рисунке.
Модуль силы F1, приложенной в точке В, равен 18 Н. Точка О – ось вращения рычага. Длина отрезка OB = 4 см, длина отрезка BA = 5 см. Какая сила должна быть приложена в точке A, чтобы рычаг находился в равновесии?

8. Для плавления стального бруска, нагретого до температуры плавления, потребовалось количество теплоты 608,4 кДж. Найдите массу этого бруска.
→ Узнать ответ
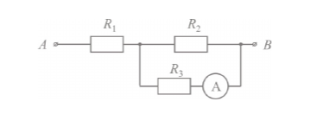
9. Участок электрической цепи, схема которой показана на рисунке, подключён к источнику постоянного напряжения. Сопротивления резисторов R1 = 4 Ом, R2 = R3 = 6 Ом. Амперметр, подключённый последовательно с резистором R3, показал силу тока 0,2 А. Вычислите напряжение на резисторе R1.

10. Предмет AB расположен перед собирающей линзой L на расстоянии d = 50 см от неё (см. рисунок). Изображение предмета при этом действительное, перевёрнутое и равное по высоте самому предмету. Определите оптическую силу линзы.

11. Сколько нейтронов образуется в реакции

12. Жук сидит на равномерно вращающемся диске в точке А. Через некоторое время жук переместился в точку В (см. рисунок). Как при перемене положения изменяются линейная скорость жука и частота его вращения? Сопротивление воздуха не учитывать. Масса жука гораздо меньше массы диска.

Для каждой величины определите соответствующий характер изменения:
1) увеличивается
2) уменьшается
3) не изменяется
Запишите в таблицу выбранные цифры для каждой физической величины.
Цифры в ответе могут повторяться.
→ Узнать ответ
13. На кухне в электрическую сеть включён холодильник. Через некоторое время в кухне включают электрический чайник, питающийся от этой же цепи. Как изменятся общее сопротивление цепи и общая потребляемая электрическая мощность после того, как включили электрический чайник?
Для каждой величины определите соответствующий характер изменения:
1) увеличится
2) уменьшится
3) не изменится
Запишите в таблицу выбранные цифры для каждой физической величины.
Цифры в ответе могут повторяться.
→ Узнать ответ
14. Контейнер с радиоактивным веществом помещают в магнитное поле, в результате чего пучок радиоактивного излучения от этого вещества распадается на три компоненты так, как показано на рисунке. Магнитное поле направлено перпендикулярно плоскости рисунка от читателя.

Используя этот рисунок, выберите из предложенного перечня два верных утверждения. Укажите их номера.
1) Компонента 1 представляет собой поток протонов.
2) Компонента 2 представляет собой гамма-излучение.
3) Если магнитное поле направить в плоскости чертежа слева направо, то разделить пучок радиоактивного излучения на компоненты не получится.
4) В магнитном поле направление движения заряженной частицы изменяется.
5) Компонента 3 представляет собой поток позитронов.
→ Узнать ответ
15. Запишите результат измерения силы электрического тока (см. рисунок), учитывая, что погрешность измерения равна половине цены деления прибора.

1) (1,4 ± 0,2) мА
2) (1,4 ± 0,1) мА
3) (2,8 ± 0,4) мА
4) (2,8 ± 0,2) мА
→ Узнать ответ
16. На рисунке представлены результаты исследования движения снаряда, выпущенного под углом к горизонту с одинаковой по модулю начальной скоростью, в зависимости от угла выстрела.

17. Из предложенного перечня выберите два утверждения, соответствующих проведённым опытам. Укажите их номера.
1) Дальность полёта снаряда не зависит от угла выстрела.
2) Максимальная высота, на которую поднимается снаряд, увеличивается при увеличении угла выстрела.
3) Дальность полёта увеличивается с увеличением угла выстрела.
4) Время полёта снаряда, выпущенного под углом 30 к горизонту, равно времени полёта снаряда, выпущенного под углом 60 к горизонту.
5) Дальности полёта при углах выстрела 15 и 75 к горизонту совпадают.
→ Узнать ответ