
Официальные материалы задания, ответы на Региональную неделю олимпиада «Вершина» в 2024-2025 г. Проходит 1-2 декабря — школьный этап. У нас Вы найдете разборы заданий для 8 классов по математике
Задания и ответы Математический олимп «Вершина»
8 класс
Задание 1: Про число a известно, что оно составляет 80% от произведения чисел a и b. Найдите число b.
→ Узнать ответ
Задание 2: В магазин привезли 3 т груш первого сорта, 4 т второго сорта и 2 т третьего. Цена 1 кг груш второго сорта на 50 рублей меньше цены груш первого сорта и на 70 рублей больше цены груш третьего сорта. Какова цена 1 кг груш первого сорта, если общая стоимость всех груш равна 2710000 рублей? Ответ дайте в рублях.
→ Узнать ответ
Задание 3: Пусть A множество делителей числа 15, B множество простых чисел, меньших 12, C множество чётных чисел, меньших 10, причём, множества A,B,C состоят из натуральных чисел. Найдите все числа, являющиеся элементами множества (A∪C)∩B
→ Узнать ответ
Задание 4: Как известно, конь в шахматах «бьёт» поля буквой Г. На рисунке показано, что данный конь может «бить» 8 клеток. Дана шахматная доска размером 5×5. Какое максимальное количество коней можно на неё поставить, чтобы они не «били» друг друга?

Задание 5: Найдите два трёхзначных числа, сумма которых кратна 486, а частное кратно 8. В ответ запишите большее из этих трёхзначных чисел.
→ Узнать ответ
Задание 6: Решите в натуральных числах уравнение m2=55+n2.В ответ запишите сумму полученных значений m.
→ Узнать ответ
Задание 7: У старого художника в студии было несколько учеников. Известно, что возраст художника на 50 лет больше среднего возраста учеников и на 40 лет больше среднего возраста себя и учеников вместе. Сколько учеников у старого художника?
→ Узнать ответ
Задание 8: В остроугольном треугольнике ABC проведены высоты BB1 и CC1 пересекающиеся в точке H. Известно, что ∠HAC=30∘,AB=5 Найдите угол BCA Ответ дайте в градусах.
→ Узнать ответ
Задание 9: В 99 кг ягод содержалось 99% воды. Ягоды поставили на солнце, и вскоре воды в них стало 97%. Сколько килограммов воды испарилось из ягод?
→ Узнать ответ
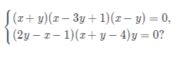
Задание 10: Сколько различных решений имеет система уравнений
