
Официальные материалы задания, ответы на Региональную неделю олимпиада «Вершина» в 2024-2025 г. Проходит 1-2 декабря — школьный этап. У нас Вы найдете разборы заданий для 9 классов по математике
Задания и ответы Математический олимп «Вершина»
9 класс
Задание 1: Ира, Вера и Полина зашли в ресторан «Вкусно — и точка» и купили две коробки наггетсов по 240 рублей за коробку (в коробке лежат 9 наггетсов). Ира заплатила 200 рублей, Вера 280 рублей, а потом они втроём съели все наггетсы. Расходы решили разделить поровну. Сколько рублей Полина должна отдать Вере?
→ Узнать ответ
Задание 2: Найдите сумму натуральных значений переменной x, удовлетворяющих условию ∣x−3∣=3−x
→ Узнать ответ
Задание 3: Монету бросают 5 раз. Какова вероятность, что орёл выпадет ровно 4 раза?
→ Узнать ответ
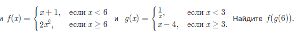
Задание 4: Даны функции

Задание 5: Решите неравенство 4x≤4−x В ответ запишите сумму целых решений неравенства, принадлежащих промежутку [−6;6].
→ Узнать ответ
Задание 6: Дан равносторонний треугольник ABC Провели прямую, которая пересекла сторону треугольника AB в точке C1 сторону в точке A1 а продолжение стороны AC в точке B1. Известно, что AC1C1B=BA1A1C=52 Найдите значение ACCB1.CB1
→ Узнать ответ
Задание 7: Найдите наибольшее трёхзначное число, удовлетворяющее следующим условиям: сумма его цифр равна 15, а сумма квадратов его цифр равна 89; если из этого числа вычесть 99, то получится число, записанное теми же цифрами, но в обратном порядке.
→ Узнать ответ
Задание 8: В треугольнике ABC проведены биссектриса AL и медиана AM. Найдите длину отрезка LM если AB=4,BC=5,AC=6.
→ Узнать ответ
Задание 9: Решите уравнение x2+y2−2x+6y=0 в целых числах. В ответе укажите наибольшее значение выражения x−3y.
м
Задание 10: Соне в три раза больше лет, чем было Боре тогда, когда Соне было столько лет, сколько Боре сейчас. Когда Боре будет столько лет, сколько Соне сейчас, им обоим вместе будет 28 лет. Сколько сейчас лет Соне?
→ Узнать ответ