
Официальные задания и ответы к демоверсии МЦКО по Физике для 8 класса на апрель-май , содержит 1 (один) тренировочный вариант заданий с ответами и решениями. Данный материал разработан для подготовки к диагностическому тестированию в общеобразовательных учреждениях Москвы.
→ Скачать официальные варианты по МЦКО 2025
Подготовка к диагностике МЦКО по Физике 8 класс: демоверсия 2025 г.
Проверочная работа проводится с целью осуществления мониторинга уровня и качества подготовки обучающихся в порядке, принятом Департаментом образования и науки города Москвы. Назначение проверочной работы по учебному предмету «Физике» – оценить качество общеобразовательной подготовки обучающихся -х классов в соответствии с требованиями федерального государственного образовательного стандарта основного общего образования и федеральной образовательной программы основного общего образования. Период проведения – апрель–май 2025 года.
Время выполнения диагностической работы
Время выполнения каждой части проверочной работы – 45 минут без учёта времени на перерыв для разминки глаз. В работе предусмотрен один автоматический пятиминутный перерыв.
Содержание и структура проверочной работы
Каждый вариант проверочной работы состоит из 14 заданий. Проверочная работа содержит задания, направленные на проверку различных умений, формируемых при изучении курса Физике.
Официальная демонстрационная версия МЦКО для 8 класса: задания и ответы
Задание 1.1. На диаграмме для некоторого вещества в твёрдом агрегатном состоянии приведены значения количества теплоты, необходимого для нагревания 50 г этого вещества на 200 °С и для плавления 50 г этого же вещества, нагретого до температуры плавления. Определите удельную теплоёмкость этого вещества.

Задание 1.2. Для отопления дома в течение нескольких часов требуется сжигать 2 кг сухих дров. Пользуясь справочными данными, определите, какое количество теплоты выделится при полном сгорании этой массы дров. Потерями энергии можно пренебречь.
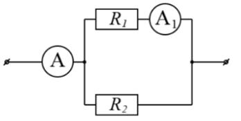
Задание 2. Два проводника соединены, как показано на рисунке. Сопротивления проводников: R1 = R2 = 90 Ом. Какое значение силы тока покажет амперметр А1, если амперметр А показывает значение силы тока, равное 0,6 А?

Задание 3. Часть постоянного магнита, которая соответствует его северному полюсу, обычно окрашивают в синий цвет, а южный полюс – в красный (рис. 1).
Длинный полосовой магнит разделили на две неравные части так, как показано на рисунке 2.

В каком положении установится магнитная стрелка, помещённая между этими осколками? С помощью компьютерной мыши переместите магнитную стрелку в нужном положении между частями магнита.

Задание 4. Какие утверждения верны?
| А. | Вокруг постоянного магнита образуется электрическое поле. |
|---|---|
| Б. | Одноимённые полюса магнитов отталкиваются. |
верно только утверждение А
верно только утверждение Б
оба утверждения верны
оба утверждения неверны
Задание 5.1. А) Сопротивление медной проволоки равно 12 Ом.
Каким станет сопротивление проволоки, если её длину уменьшить в 3 раза?
Б) На электрической лампочке накаливания написано «220 В, 100 Вт».
Определите сопротивление нити накала лампы.
Задание 5.2. Электрическую лампу сопротивлением 100 Ом, рассчитанную на напряжение 50 В, нужно питать от сети напряжением 200 В. Для того чтобы лампа не перегорела при подключении к сети, последовательно лампе подключают резистор. Сопротивление резистора подобрали таким, чтобы напряжение на лампе было равно 50 В.
А) Определите напряжение на резисторе.
Б) Определите сопротивление резистора.
Задание 6.1. Прочитайте условие задачи.
Готовя пищу, полярники используют воду, полученную из расплавленного льда, а в качестве нагревательной установки используют дровяную печь. Какую массу льда mл, взятого при температуре его плавления, можно полностью превратить в воду при сжигании сухих дров массой, равной mд? КПД печи – η. Вставьте в текст формулы из списка, позволяющие решить эту задачу и получить формулу для расчёта массы расплавленного льда. Переместите необходимые формулы в текст с помощью компьютерной мыши. КПД печи η можно выразить по формуле , в которой полезное количество теплоты можно найти по формуле , а затраченное количество теплоты – по формуле . После математических преобразований формула для определения массы расплавленного льда будет иметь вид

Задание 6.2. В паспорте резистора написано, что его сопротивление равно (200 ± 5) Ом.
Определите наибольшее и наименьшее значения напряжения на резисторе при прохождении по нему тока силой 0,04 А. Считайте показания амперметра точными.
Внесите в таблицу полученные значения минимального и максимального значений напряжения на резисторе.
| Минимальное напряжение на резисторе | Максимальное напряжение на резисторе |
|---|---|
| В | В |
Задание 7. Определите показания вольтметра (см. рисунок), если абсолютная погрешность его прямого измерения равна цене деления шкалы этого вольтметра.

Задание 8. Учитель провёл следующий опыт. Раскалённая плитка (1) размещалась напротив полой цилиндрической закрытой коробки (2), соединённой резиновой трубкой с коленом U-образного манометра (3). Первоначально жидкость в коленах манометра находилась на одном уровне. Через некоторое время уровни жидкости в коленах манометра изменились (см. рис.). Коробка была повёрнута к плитке блестящей стороной на протяжении всего эксперимента. Температура плитки и расстояние между плиткой и коробкой в течение эксперимента не изменялись.

Из предложенного перечня выберите два верных утверждения, соответствующих результатам проведённого опыта.
Передача энергии от плитки к коробке осуществлялась преимущественно за счёт излучения.
Передача энергии от плитки к коробке осуществлялась преимущественно за счёт конвекции.
В процессе передачи энергии давление воздуха в коробке увеличивалось.
Поверхности чёрного матового цвета по сравнению со светлыми блестящими поверхностями лучше поглощают энергию.
Разность уровней жидкости в коленах манометра зависит от температуры плитки.
Задание 9. При проведении научных исследований образец некоторого вещества сначала нагревали, а затем охлаждали. На представленном графике отражена зависимость температуры t этого образца от времени τ. Какова температура плавления образца, если первоначально он находился в твёрдом состоянии и за каждую секунду к нему подводилось одинаковое количество теплоты?

Задание 10. Необходимо проверить гипотезу о том, что количество теплоты, затраченное на нагревание тела, зависит от вещества, из которого оно сделано. Какую пару тел следует выбрать для проверки этой гипотезы?
| Номера тел | Вещество | Масса вещества, г | Изменение температуры вещества, °С |
|---|---|---|---|
| Тело 1 | Алюминий | 80 | 80 |
| Тело 2 | Свинец | 80 | 80 |
| Тело 3 | Медь | 20 | 60 |
| Тело 4 | Свинец | 20 | 80 |