
Официальный образец варианта заданий с ответами и решениями ВПР 2025 по Физике Углубленный уровень 8 класс с официального ресурса ФИОКО (Федеральный институт оценки качества образования). Демоверсия предназначена для подготовки учащихся к всероссийской проверочной работе (ВПР), которая пройдет в период с 11 апреля по 16 мая 2025 года.
→ Типовые (тренировочные варианты) по Физике Углубленный уровень 8 класс
→ Образец проверочной работы по Физике Углубленный уровень 8 класс
→ Описание проверочной работы по Физике Углубленный уровень 8 класс
Онлайн вариант ВПР 2025 по Физике Углубленный уровень 8 класс
Назначение всероссийской проверочной работы
Всероссийские проверочные работы (ВПР) проводятся в целях осуществления мониторинга уровня и качества подготовки обучающихся в соответствии с требованиями федеральных государственных образовательных стандартов и федеральных основных общеобразовательных программ. Назначение ВПР по учебному предмету «Физика» – оценить качество общеобразовательной подготовки обучающихся 8 классов в соответствии с требованиями федерального государственного образовательного стандарта основного общего образования (ФГОС ООО) и федеральной образовательной программы основного общего образования (ФОП ООО).
Структура проверочной работы
Проверочная работа состоит из двух частей и включает в себя 7 заданий. В теоретической части работы содержатся задания 1–6, которые различаются по содержанию и проверяемым требованиям; в экспериментальной части содержится задание 7 – экспериментальная задача. Задания 2, 3 и 4 требуют краткого ответа. Задания 1 и 5 предполагают развернутую запись ответа. В задании 6 нужно написать решение задачи полностью. Задание 7 состоит из трех частей, все этапы выполнения задания необходимо записать полностью.
Инструкция по выполнению работы
На выполнение заданий части 1 проверочной работы по физике отводится один урок (не более 45 минут). Часть 1 включает в себя 6 заданий. Ответы на задания запишите в поля ответов в тексте работы. В случае записи неверного ответа зачеркните его и запишите рядом новый. Ответом на каждое из заданий 2, 3 и 4 является число. В заданиях 1 и 5 нужно написать ответ в виде текста. В задании 6 нужно написать решение задачи полностью. При выполнении работы не разрешается пользоваться учебниками, рабочими тетрадями, справочниками. При выполнении работы можно пользоваться непрограммируемым калькулятором. При необходимости можно пользоваться черновиком. Записи в черновике проверяться и оцениваться не будут. Советуем выполнять задания в том порядке, в котором они даны. В целях экономии времени пропускайте задание, которое не удаётся выполнить сразу, и переходите к следующему. Если после выполнения работы у Вас останется время, то Вы сможете вернуться к пропущенным заданиям.
Задания проверочной работы по Физике Углубленный уровень
Задание 1. Зимой на улице металл на ощупь кажется холоднее дерева. Что будет казаться более горячим на ощупь летом в сорокаградусную жару: металл и дерево? Поясните свой ответ.
Задание 2. При проведении научных исследований образец некоторого вещества, первоначально находившийся в твёрдом состоянии, сначала нагревали, а затем охлаждали. На графике отражена зависимость температуры этого образца от времени. Найдите отношение удельных теплоёмкостей образца в жидком и твёрдом состояниях Сж/Ств , если за каждую секунду к нему подводилось одинаковое количество теплоты. Потерями тепла пренебречь.

Задание 3. Кипятильник мощностью 1 кВт смог нагреть тонкостенное ведро с водой лишь до 90 °С. За какое время после выключения кипятильника ведро остынет до 89 °С? Масса воды равна 10 кг, удельная теплоёмкость воды равна 4200 Дж/(кг·°С).
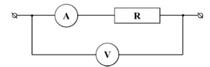
Задание 4. Для измерения сопротивления резистора R собрана электрическая цепь, схема которой показана на рисунке. Чему равно сопротивление R резистора, если вольтметр V показывает напряжение UV = 5 В, а амперметр А − ток IА = 200 мА? Внутреннее сопротивление вольтметра RV = 3,5 кОм, амперметра − RА = 5 Ом.

Задание 5. На рисунках показано, как установились магнитные стрелки, находящиеся возле полюсов двух постоянных магнитов. Определите полюса этих магнитов, обозначенные цифрами 1 и 2. Кратко поясните свой ответ.

Задание 6. У Ивана Петровича перегорела нагревательная спираль в паяльнике, который был рассчитан на напряжение 12 В. Для ремонта паяльника Ивану Петровичу требуется изготовить новую проволочную спираль. В своём ящике с инструментами он нашёл кусок нихромовой проволоки длиной 50 см и площадью поперечного сечения 0,055 мм 2 . Удельное сопротивление нихрома равно 1,1 Ом·мм 2 /м.
1) Чему равно сопротивление найденного куска проволоки?
2) Оказалось, что при такой площади поперечного сечения проволоки, чтобы она нагрелась до необходимой температуры, равной 400 °С, по ней должен течь ток силой не менее 0,74 А. При силе тока в 1,5 А проволока такого поперечного сечения перегорает. Удастся ли починить паяльник с помощью найденного куска проволоки? Ответ подтвердите расчётами.
3) Кусок какой длины необходимо отрезать от найденной проволоки, для того чтобы исправленный с его помощью паяльник обладал максимальной мощностью и при этом проволока не перегорала? Напишите полное решение этой задачи.
Оборудование: источник питания с номинальным напряжением 4,5 В (батарейка 3R12 или три батарейки АА, соединённые последовательно, с закрытыми контактами), соединительные провода, лампа накаливания с номинальным режимом 4,8 В, школьный амперметр, школьный вольтметр, переменный резистор на 10 Ом. Примечание. Можно использовать электрические компоненты из набора «ГИА-лаборатория».
Задание 7. Цель работы: измерение электрического сопротивления лампы накаливания.
1) Соберите электрическую цепь, состоящую из последовательно соединённых источника питания (4,5 В), амперметра и лампочки. Подключите параллельно лампочке вольтметр. Запишите показания приборов с указанием погрешностей*. Считайте погрешности стрелочных электрических приборов равными половине цены деления шкалы. * Для проведения измерений выбирайте наиболее точные режимы приборов.
2) Рассчитайте величину сопротивления лампочки (отношение напряжения на лампе к текущему через неё току), работающей в таком режиме. Пользуясь «методом границ», оцените погрешность полученной величины.
3) Соберите электрическую цепь, позволяющую установить на лампочке напряжение 2,0 В*. Зарисуйте схему цепи в своей работе. Измерьте сопротивление лампы в этом режиме. Оцените абсолютную и относительную погрешности полученной величины. * Для проведения измерений выбирайте наиболее точные режимы приборов.