
Официальная всероссийская апробация ЕГЭ по Биологии 11 класс, проходящая по всей РФ. Проходящая 04 марта 2026 г.
Скачать полные материалы задания и ответы
Пробник Биологии ЕГЭ 11 класс
Инструкция
Экзаменационная работа состоит из двух частей, включающих в себя 28 заданий. Часть 1 содержит 21 задание с кратким ответом. Часть 2 содержит 7 заданий с развёрнутым ответом.
На выполнение пробной экзаменационной работы по биологии отводится 3 часа 55 минут (235 минут).
Ответами к заданиям части 1 являются последовательность цифр, число или слово (словосочетание). Ответы запишите в бланк ответов (буквы печатные).
Задания части 2 (22–28) требуют полного ответа (дать объяснение, описание или
обоснование; высказать и аргументировать собственное мнение). В бланке ответов укажите номер задания и запишите его полное решение.
Часть 1
Задание 1. Рассмотрите таблицу «Методы биологических исследований». Запишите в ответе пропущенный термин, обозначенный в таблице вопросительным знаком.
| Частнонаучный метод | Применение метода |
| Близнецовый | Определение роли факторов среды в формировании фенотипа человека |
| ? | Изучение особенностей фаз митоза на фиксированном препарате |
Правильный ответ: микроскопирование
Задание 2. В эксперименте исследователь измерял физиологические показатели лягушки травяной при повышении от 4 до 20 С° температуры в террариуме. Как изменилась у лягушки скорость реакций энергетического обмена и частота сердечных сокращений при таком повышении температуры? Для каждой величины определите соответствующий характер её изменения:
1) увеличилась
2) уменьшилась
3) не изменилась
Запишите в таблицу выбранные цифры для каждой величины. Цифры в ответе могут повторяться.
| Скорость реакций энергетического обмена | Частота сердечных сокращений |
Правильный ответ: 11
Задание 3. На основании правила 10% рассчитайте массу фитопланктона (в кг), которая может обеспечить в море существование дельфина массой 300 кг, при условии, что пищевая цепь состоит из трех звеньев. В ответ запишите только соответствующее число.
Правильный ответ: 30000
Задание 4. Какова вероятность (в %) получения гомозиготного по рецессивному аллелю потомства в моногибридном скрещивании при самоопылении гетерозиготных особей при полном доминировании признака? В ответе запишите только соответствующее число.
Правильный ответ: 25
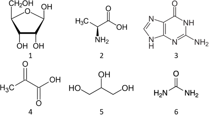
Рассмотрите рисунок и выполните задания 5 и 6.

Задание 5. Каким номером на рисунке показан конечный продукт азотистого обмена млекопитающих?
Правильный ответ: 6 (1 — рибоза, 2 — аланин, 3 — гуанин, 4 — ПВК, 5 — глицерин, 6 — мочевина)
Задание 6. Установите соответствие между характеристиками и соединениями, обозначенными на рисунке цифрами 1, 2, 3: к каждой позиции, данной в первом столбце, подберите соответствующую позицию из второго столбца
| ХАРАКТЕРИСТИКА | СОЕДИНЕНИЕ |
| А) является пятиуглеродным сахаром | 1) 1 |
| Б) может образовывать пептидные связи | 2) 2 |
| В) входит в состав всех рибонуклеотидов | 3) 3 |
| Г) является заменимой аминокислотой | |
| Д) образует комплементарную пару с цитозином | |
| Е) пуриновое азотистое основание |
Задание 7. Выберите три верных ответа из шести и запишите цифры, под которыми они указаны. Лизосомы в животной клетке:
1) обеспечивают утилизацию поврежденных органоидов
2) транспортируют белки в эндоплазматическую сеть
3) являются полуавтономными органоидами
4) обеспечивают анаэробный этап энергетического обмена
5) содержат белки, модифицированные в аппарате Гольджи
6) включают гидролитические ферменты, активные в кислой среде
→ Раскрыть ответ
Задание 8. Установите последовательность процессов в интерфазе и кариокинезе, начиная с G1-фазы. Запишите соответствующую последовательность цифр.
1) репликация ДНК
2) локализация хромосом по экватору клетки
3) расхождение хромосом к полюсам клетки
4) декомпактизация хромосом
5) рост клетки
6) спирализация хромосом
→ Раскрыть ответ
Рассмотрите рисунки и выполните задания 9 и 10.

Задание 9. Каким номером на рисунке обозначена тычинка?
→ Раскрыть ответ
Задание 10. Установите соответствие между характеристиками и структурами, отмеченными на рисунке цифрами 1, 2, 3: к каждой позиции, данной в первом столбце, подберите соответствующую позицию из второго столбца.
| ХАРАКТЕРИСТИКИ | СТРУКТУРА |
| А) содержит зародыш | 1) 1 |
| Б) прорастает в новое растение | 2) 2 |
| В) содержит эндосперм | 3) 3 |
| Г) разрастается в околоплодник | |
| Д) улавливает пыльцу | |
| Е) формирует полость вокруг семязачатка |
Задание 11. Выберите три верных ответа и запишите цифры, под которыми они указаны. Признаками, отличающими пресмыкающихся от птиц, являются
1) наличие двойного дыхания
2) наличие клоаки
3) непостоянная температура тела
4) снабжение органов смешанной кровью
5) наличие мочевого пузыря
6) внутреннее оплодотворение
→ Раскрыть ответ
Задание 12. Установите последовательность расположения систематических таксонов, начиная с наименьшего. Запишите соответствующую последовательность цифр.
1) Животные
2) Стрекающие (Кишечнополостные)
3) Коралловые полипы
4) Эукариоты
5) Восьмиугольные кораллы
6) Красный коралл
→ Раскрыть ответ
Рассмотрите рисунки и выполните задания 13 и 14.

Задание 13. Какой цифрой обозначены клетки, содержащие антигены, вызывающие иммунный ответ?
→ Раскрыть ответ
Задание 14. Установите соответствие между характеристиками и структурами, обозначенными на рисунке выше цифрами 1, 2, 3: к каждой позиции, данной в первом столбце, подберите соответствующую позицию из второго столбца.
| ХАРАКТЕРИСТИКА | СТРУКТУРЫ |
| А) заполнены глобулярным белком, имеющим четвертичную структуру | 1) 1 |
| Б) накапливают кератин | 2) 2 |
| В) могут иметь сегментированное ядро | 3) 3 |
| Г) имеют эктодермальное происхождение | |
| Д) обеспечивают транспорт газов | |
| Е) могут фагоцитировать бактерий |
Задание 15. Выберите три верных ответа из шести и запишите цифры, под которыми они указаны. Какие функции выполняет отдел головного мозга, обозначенный на рисунке

1) регулирование сердечных движений
2) дыхание
3) центр регуляции настроения (агрессии, страха, наслаждения)
4) терморегуляция
5) жажда и голод
6) координация движений
→ Раскрыть ответ
Задание 16. Установите правильную последовательность движения молекулы оксигемоглобина от места образования до места диссоциации. Запишите соответствующую последовательность цифр.
1) капилляры тонкой кишки
2) капилляры легочных альвеол
3) правая верхняя легочная вена
4) левый желудочек
5) брюшная аорта
6) верхняя брыжеечная артерия
→ Раскрыть ответ
Задание 17. Прочитайте текст. Выберите три предложения, в которых даны верные примеры биогеографических доказательств эволюции. Запишите цифры, под которыми они указаны.
(1) Сходство фауны Южной Америки и Африки объясняется существованием единого суперконтинента Гондвана в прошлом. (2) Многочисленные находки оперенных динозавров на территории Китая показывают, что оперение могло развиваться многократно и независимо в разных эволюционных линиях. (3) Отсутствие плацентарных млекопитающих в аборигенной фауне Австралии подтверждает, что изоляция континента произошла до их широкого распространения. (4) Расселение человека по миру вызвало распространение синантропных видов (крыс, голубей, тараканов), являющихся в настоящее время космополитами. (5) У голландских переселенцев в ЮАР отмечается высокая частота ряда наследственных заболеваний вследствие дрейфа генов. (6) Различие видов в сходных климатических условиях, например, в пустынях Африки и Южной Америки, доказывает, что биоразнообразие определяется не столько средой, сколько историей происхождения и миграции предков.
→ Раскрыть ответ