
13.05.2026 — Официальные задания, ответы и решения к демоверсии МЦКО по Биологии углубленный уровень для 8 класса, проходящая в мае 2026 г. Содержит 1 (один) тренировочный вариант заданий с решениями.
1. Скачать официальные варианты к МЦКО 2026
2. Скачать демоверсию текущей работы
Демоверсия МЦКО по Физике (Углубленный уровень) 8 класс
1. Назначение проверочной работы
Проверочная работа проводится с целью определения уровня подготовки по физике обучающихся 8-х классов образовательных организаций, участвующих в реализации городских образовательных проектов.
Период проведения – май 2026 года.
2. Документы, определяющие содержание и характеристики проверочной работы
Содержание и основные характеристики проверочной работы определяются на основе следующих документов:
– Федеральный государственный образовательный стандарт основного общего образования (утверждён приказом Минпросвещения России от 31.05.2021 № 287);
– Федеральная образовательная программа основного общего образования (утверждена приказом Минпросвещения России от 18.05.2023 № 370);
– Федеральный перечень учебников, допущенных к использованию при реализации имеющих государственную аккредитацию образовательных программ начального общего, основного общего, среднего общего образования организациями, осуществляющими образовательную деятельность (утверждён приказом Минпросвещения России от 26.06.2025 № 495);
– Универсальный кодификатор распределённых по классам проверяемых требований к результатам освоения основной образовательной программы основного общего образования и элементов содержания по истории (подготовлен ФГБНУ «ФИПИ»).
3. Условия проведения проверочной работы
При организации и проведении работы необходимо строгое соблюдение порядка организации и проведения независимой диагностики. Проверочная работа проводится в компьютерной форме. Дополнительные материалы и оборудование: справочные материалы (в системе компьютерного тестирования), непрограммируемый калькулятор
4. Время выполнения проверочной работы
Время выполнения проверочной работы – 60 минут без учёта времени на перерыв для разминки глаз. В работе предусмотрены автоматические пятиминутные перерывы.
5. Содержание и структура проверочной работы
Каждый вариант проверочной работы состоит из 12 заданий.
Проверочная работа содержит задания, направленные на проверку различных блоков умений, формируемых при изучении курса физики.
6. Порядок оценивания выполнения отдельных заданий и работы в целом
Верное выполнение каждого из заданий 3, 5, 8–10 оценивается 1 баллом; заданий 1, 2, 4, 6, 7, 11 и 12 оценивается 2 баллами.
Максимальный балл за выполнение всей проверочной работы – 19 баллов.
Образцы заданий и ответы
Задание 1. В сосуд с холодной водой опустили нагретый до 300 ℃ металлический цилиндр массой 3 кг. На рисунке графически изображён процесс теплообмена между холодной водой и цилиндром.

Из предложенного перечня утверждений выберите два верных, соответствующих результатам проведённого эксперимента.
В результате теплообмена внутренняя энергия металла уменьшилась на 120 кДж.
В результате теплообмена внутренняя энергия холодной воды увеличилась на 50 кДж.
Потери энергии при теплообмене отсутствуют.
Удельная теплоёмкость металла, из которого сделан цилиндр, в 2 раза меньше удельной теплоёмкости воды.
В результате теплообмена вода нагрелась на 100 ℃.
Правильный ответ:
В результате теплообмена внутренняя энергия металла уменьшилась на 120 кДж.
Потери энергии при теплообмене отсутствуют.
Задание 2. При проведении научных исследований образец некоторого кристаллического вещества массой 2 кг нагревали. В процессе нагревания образец каждую секунду получал одно и то же количество теплоты. На представленном графике отражена зависимость температуры t этого образца от времени т. Удельная теплоёмкость вещества в твёрдом состоянии равна 400 Дж/(кг-С). Потерями энергии пренебречь.

Выберите все верные утверждения, описывающие процессы, происходящие с данным веществом.
При переходе вещества из состояния, обозначенного на графике цифрой 2, в состояние, обозначенное на графике цифрой 3, внутренняя энергия вещества увеличивалась.
Мощность нагревательной установки равна 2 кВт.
Удельная теплота плавления вещества равна 360 Дж/кг.
Удельная теплоёмкость вещества в твёрдом состоянии больше его удельной теплоёмкости в жидком состоянии.
В состоянии, обозначенном на графике цифрой 3, вся масса вещества находилась в жидком состоянии.
Правильный ответ:
При переходе вещества из состояния, обозначенного на графике цифрой 2, в состояние, обозначенное на графике цифрой 3, внутренняя энергия вещества увеличивалась.
Мощность нагревательной установки равна 2 кВт.
Задание 3. На гистограмме представлены количества теплоты, которые Q, кДж 4 выделяются при сгорании топлива № 1 массой 200 г и топлива № 2 массой 500 г. Найдите отношение топлива № 1 к удельной теплоте сгорания топлива № 2 удельной теплоте сгорания.

Правильный ответ:
1,25
Задание 4. На графике приведены экспериментальные данные зависимости температуры кипения воды от внешнего давления.

Из предложенного перечня выберите все верные утверждения, соответствующие данным графика.
Температура кипения увеличивается с увеличением внешнего давления.
При нормальном атмосферном давлении температура кипения воды равна 100 ℃.
Температура кипения прямо пропорциональна внешнему давлению,
При увеличении нормального атмосферного давления в 8 раз температура кипения увеличивается на 170 °C.
Температура кипения зависит от наличия примесей в воде.
Правильный ответ:
Температура кипения увеличивается с увеличением внешнего давления.
При нормальном атмосферном давлении температура кипения воды равна 100 ℃
Задание 5. Тепловая машина с КПД 40% получает за цикл от нагревателя 100 Дж теплоты. Какое количество теплоты машина отдаёт за цикл холодильнику?
Правильный ответ:
60
Задание 6. Два незаряженных одинаковых электрометра соединены тонким стальным стержнем. Первого электрометра коснулись положительно заряженной палочкой (см. рисунок).
Используя рисунок, выберите из предложенного перечня все верные утверждения о процессах, происходящих при этом в электрометрах.

Оба электрометра приобрели положительный заряд.
Количество протонов на электрометрах увеличилось.
Первый электрометр приобрёл положительный заряд, а второй — отрицательный.
Часть электронов с электрометров перешла на палочку.
Суммарный заряд электрометров остался равен нулю.
Правильный ответ:
Оба электрометра приобрели положительный заряд.
Часть электронов с электрометров перешла на палочку.
Задание 7. Две маленькие закреплённые бусинки, расположенные в точках А и В, несут на себе заряды +q > 0 и -2q < 0 соответственно (см. рисунок). Точка С расположена на середине отрезка [AВ].

Из приведённого ниже списка выберите все верные утверждения.
На бусинку, находящуюся в точке А, со стороны бусинки, находящейся в точке В, действует сила Кулона, направленная горизонтально влево.
Напряжённость результирующего электростатического поля в точке С направлена горизонтально вправо.
Если бусинку, находящуюся в точке В, перенести в точку С, то модуль силы Кулона, действующей между заряженными бусинками, увеличится в 4 раза.
Если бусинки соединить медной проволокой, то заряд каждой бусинки станет равным (-q/2).
Если бусинки соединить незаряженной стеклянной палочкой, их заряды станут равными нулю.
Правильный ответ:
Напряжённость результирующего электростатического поля в точке С направлена горизонтально вправо.
Если бусинку, находящуюся в точке В, перенести в точку С, то модуль силы Кулона, действующей между заряженными бусинками, увеличится в 4 раза.
Если бусинки соединить медной проволокой, то заряд каждой бусинки станет равным (-q/2).
Задание 8. Проводник, сделанный из проволоки длиной 1, включён в электрическую цепь. На графике представлена зависимость силы тока I в этом проводнике от напряжения U на его концах.
Каким станет сопротивление этого проводника, если одну четверть проволоки отрезать?
Правильный ответ:
3
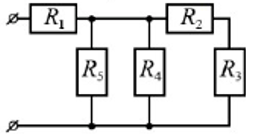
Задание 9. На рисунке показана схема участка электрической цепи из пяти резисторов.

Сопротивления резисторов имеют следующие значения: R1 = 10 Ом, R2 = 4 Oм, R3 = 4 0м, R4 = 8 Ом, R5 = 6 OM.
Определите сопротивление этого участка цепи.
Правильный ответ:
12,4
Задание 10. В электрической цепи, электрическая схема которой изображена на рисунке, амперметр А1 показывает силу тока 0,2 А. Сопротивление резистора R1 равно 6 Ом, а сопротивление резистора R2 равно 4 Ом.
Определите напряжение на лампе, если её сопротивление равно 20 Ом.
Правильный ответ:
10
Задание 11. Три резистора R1, R2, R3 соединены так, как показано на рисунке, и подключены к источнику постоянного напряжения. В начальный момент ключ К разомкнут. Как изменятся сила тока через резистор R2 и мощность, выделяющаяся на резисторе R1, после замыкания ключа?

Для каждой величины определите соответствующий характер изменения. К каждой позиции из первого столбца подберите соответствующую позицию из выпадающего списка.
Правильный ответ:

Задание 12. Прочитайте условие задачи.
К концам однородного медного цилиндрического проводника на время т подали напряжение U. Выведите формулу для расчёта длины ! проводника, если его температура за это время повысилась на ▲t. Изменением сопротивления проводника и рассеянием теплоты при его нагревании пренебречь.
Вставьте в текст формулы, позволяющие решить эту задачу и получить правильный ответ. Переместите необходимые формулы в текст с помощью компьютерной мыши.
При решении задачи используются следующие обозначения:
с — удельная теплоёмкость меди;
Ру — удельное сопротивление меди;
Рпл — плотность меди;
S — площадь поперечного сечения медного цилиндрического проводника.
При прохождении электрического тока по проводнику выделяется количество теплоты Q1, которое можно выразить по формуле ?.Количество теплоты Q2, требующееся для нагревания проводника, можно найти по формуле?. Так как по условию задачи потерями теплоты при нагревании проводника можно пренебречь, то приравниваем Q1 и Q2, из полученного уравнения выражаем длину проводника l. Общая формула для определения длины проводника l будет иметь следующий вид: ?.
Правильный ответ:
