
Тренировочная работа СтатГрад №5 по Химии для 11 класса, вариант № ХИ2410502 задания, ответы — это уникальный материал для подготовки к ЕГЭ, разработанный в соответствии с требованиями ФИПИ и форматом реального экзамена.
Тренировочная работа СтатГрад №5 по Химии для 11 класса
→ Скачать все варианты и решения по Химии 11 класс
Вариант ХИ2410502 задания и ответы для подготовки к ЕГЭ по Химии
Для выполнения заданий 1–3 используйте следующий ряд химических элементов: 1) F 2) Mg 3) B 4) Li 5) S Ответом в заданиях 1–3 является последовательность цифр, под которыми указаны химические элементы в данном ряду.
Задание 1. Определите два элемента, у которых в основном состоянии на внешнем уровне есть только одна заполненная орбиталь. Запишите номера выбранных элементов.
→ Узнать ответ
Задание 2. Из указанного ряда элементов выберите три элемента-неметалла и расположите их в порядке увеличения радиуса атома. Запишите номера выбранных элементов в нужной последовательности.
→ Узнать ответ
Задание 3. Из указанного ряда выберите два элемента, которые в соединениях могут проявлять степень окисления +2. Запишите номера выбранных элементов.
→ Узнать ответ
Задание 4. Из предложенного перечня выберите два вещества, которые в твёрдом состоянии имеют молекулярную кристаллическую решётку и содержат ковалентные неполярные связи.
1) белый фосфор
2) пропан
3) оксид углерода(IV)
4) фосфорная кислота
5) пероксид бария
Запишите номера выбранных ответов.
→ Узнать ответ
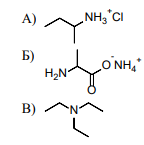
Задание 5. Среди предложенных формул/названий веществ, расположенных в пронумерованных ячейках, выберите формулы/названия: А) щёлочи; Б) кислотного оксида; В) комплексной соли.

Задание 6. В двух пробирках находился окрашенный раствор вещества X. При добавлении раствора щёлочи к первой пробирке выпал осадок. Ко второй пробирке прибавили раствор вещества Y, выпал осадок и выделился газ без запаха.
Из предложенного перечня выберите вещества X и Y, которые обладают описанными свойствами.
1) FeCl3
2) Al2(SO4)3
3) Na2S
4) Na2СO3
5) Na2CrO4
→ Узнать ответ
Задание 7. Установите соответствие между веществом и реагентами, с каждым из которых это вещество может взаимодействовать: к каждой позиции, обозначенной буквой, подберите соответствующую позицию, обозначенную цифрой.
ВЕЩЕСТВО
А) BaO
Б) SO3
В) NaHCO3
Г) Cu
РЕАГЕНТЫ
1) H2S, Ag2O, Na2SO4
2) HNO3, NaOH, AlCl3
3) H2SO4, Cl2, AgNO3
4) H2O, NaOH, MgO
5) H2O, HCl, CO2
→ Узнать ответ
Задание 8. Установите соответствие между реагирующими веществами и продуктами, которые образуются при взаимодействии этих веществ: к каждой позиции, обозначенной буквой, подберите соответствующую позицию, обозначенную цифрой.
ИСХОДНЫЕ ВЕЩЕСТВА
А) P + KOH + H2O
Б) P2O3 + KOH
В) PCl3 + KOH(изб)
Г) P2O5 + KOH(изб)
ПРОДУКТЫ РЕАКЦИИ
1) K2HPO3 + KCl + H2O
2) KH2PO2 + PH3
3) K2HPO3 + H2O
4) KH2PO4 + H2O
5) K3PO4 + H2O
6) K3PO4 + KCl + H2O
→ Узнать ответ
Задание 9. Задана схема превращений веществ:

Определите, какие из указанных веществ являются веществами X и Y.
1) Si
2) SiC
3) SiO2
4) H2SO4
5) H2O
→ Узнать ответ
Задание 10. Установите соответствие между структурной формулой вещества и классом/группой органических соединений, к которому(-ой) это вещество принадлежит: к каждой позиции, обозначенной буквой, подберите соответствующую позицию, обозначенную цифрой.
СТРУКТУРНАЯ ФОРМУЛА КЛАСС/ГРУППА

ОРГАНИЧЕСКИХ СОЕДИНЕНИЙ
1) амины
2) соли аминов
3) аминокислоты
4) соли аминокислот
→ Узнать ответ
Задание 11. Из предложенного перечня выберите два вещества, являющихся между собой изомерами.
1) циклопропанол
2) метилэтиловый эфир
3) пропандиол-1,2
4) пропаналь
5) пропилацетат
→ Узнать ответ
Задание 12. Из предложенного перечня выберите все вещества, способные реагировать с натрием в соответствующих условиях.
1) этиленгликоль
2) хлорметан
3) ацетилен
4) бензол
5) пропаналь
→ Узнать ответ
Задание 13. Из предложенного перечня выберите два вещества, которые можно получить в одну стадию из аланина (2-аминопропионовой кислоты).
1) этиламин
2) молочная кислота
3) глицин
4) акриловая (пропеновая) кислота
5) пропионовая кислота
→ Узнать ответ
Задание 14. Установите соответствие между реагирующими веществами и механизмом реакции: к каждой позиции, обозначенной буквой, подберите соответствующую позицию, обозначенную цифрой.
РЕАГИРУЮЩИЕ ВЕЩЕСТВА
А) толуол + хлор (в присутствии AlCl3)
Б) пропен + хлор (500 оС)
В) 2 -хлорпентан + гидроксид калия (спиртовой раствор)
Г) пропин + вода (в присутствии Hg2+, H+)
МЕХАНИЗМ РЕАКЦИИ
1) нуклеофильное замещение
2) элиминирование
3) электрофильное замещение
4) электрофильное присоединение
5) радикальное замещение
6) радикальное присоединение
→ Узнать ответ